生态学报  2016, Vol. 36 Issue (20): 6607-6617

文章信息

孟令军, 张利敏, 张丽梅, 冯仲科
MENG Lingjun, ZHANG Limin, ZHANG Limei, FENG Zhongke.
五大连池药泉山大型土壤动物对旅游踩踏的响应
Responses of soil macrofaunal communities to tourism trample in the Wudalianchi Yaoquan Mountains
生态学报[J]. 2016, 36(20): 6607-6617
Acta Ecologica Sinica[J]. 2016, 36(20): 6607-6617
http://dx.doi.org/10.5846/stxb201603230518

文章历史

收稿日期: 2016-03-23
网络出版日期: 2016-09-20
五大连池药泉山大型土壤动物对旅游踩踏的响应
孟令军1,4, 张利敏1,2, 张丽梅3, 冯仲科5     
1. 哈尔滨师范大学地理科学学院, 哈尔滨 150025;
2. 黑龙江省普通高等学校地理环境遥感监测重点实验室, 哈尔滨 150025;
3. 黑龙江大学历史文化旅游学院, 哈尔滨 150080;
4. 黑龙江大学继续教育学院, 哈尔滨 150080;
5. 北京林业大学精准林业北京市重点实验室, 北京 100083
摘要: 以黑龙江省五大连池世界地质公园的药泉山为研究对象,按照距离游道的远近分为重度踩踏区,轻度踩踏区和非踩踏区3种踩踏干扰强度,分析大型土壤动物数量,群落组成,多样性对旅游踩踏干扰的响应。研究结果表明不同干扰区之间大型土壤动物类群数量差异显著(P < 0.001),重度踩踏区显著低于轻度踩踏区和非踩踏区。不同干扰区大型土壤动物个体数差异明显(P < 0.001),其中轻度踩踏区个体密度最大(68头/m2),重度踩踏区个体密度最小(10头/m2)。不同踩踏强度干扰区H’指数差异明显(P < 0.05),轻度踩踏区及非踩踏区的多样性显著高于严重踩踏区。典型对应分析表明旅游踩踏主要通过改变土壤理化特性而影响大型土壤动物的组成及其多样性,重度踩踏区、轻度踩踏区和非踩踏区对大型土壤动物影响最显著的因子分别为土壤全氮含量,土壤含水率和土壤全磷含量。
关键词: 土壤动物     旅游干扰     群落结构     多样性    
Responses of soil macrofaunal communities to tourism trample in the Wudalianchi Yaoquan Mountains
MENG Lingjun1,4, ZHANG Limin1,2, ZHANG Limei3, FENG Zhongke5     
1. Geographical Sciences College, Harbin Normal University, Harbin 150025, China;
2. Key Laboratory of Remote Sensing Monitoring of Geographic Environment, College of Geographical Science, Harbin Normal University, Harbin 150025, China;
3. School of History, Cultural Tourism, Heilongjiang University, Harbin 150080, China;
4. School of Continuing Education, Heilongjiang University, Harbin 150080, China;
5. Beijing Forestry University, Beijing Municipal Key Laboratory of Precision Forestry, Beijing 100083, China
Abstract: Trampling is widespread among various recreational activities, and this can become a significant problem as it represents a major disturbance affecting the vegetation and soil surface horizon. Soil macrofauna, mainly in the soil surface horizon, are good indicators for studying the impact of human activities. In the present study, Yaoquan Mountain of Wudalianchi World Geo-park was considered as a study example in 2012. The areas surrounding tourism trails were divided into no-trampling, mid-trampling, and high-trampling plots, which were divided based on three different interference types. The effect of human trampling on soil macrofaunal communities at a depth of 0-10 cm were studied along an increasing distance from the tourism trail of Yaoquan Mountain. A completely randomized design, including three replicates from three trampling interference sites, was used. Soil macrofauna were separated by hand, and were identified and counted. Soil bulk density, soil moisture content, soil organic matter content, total nitrogen content, and total phosphorus content were measured from each site. Our study evaluated the structure, composition, diversity, and distribution of soil macrofauna in three different tourism trample types, and assessed the impacts of human activity. The results were summarized as the following aspects:The total number of soil animal genera was significantly different in the three disturbance degree sites (P < 0.001) and the least number of genera occurred in high trampling sites. The individual density of soil macrofauna was significantly different from the other kinds of soil animal fauna in the three disturbance degree sites (P < 0.001), the maximum value was in the mid-trampling plots (68 ind./m2), and the minimum value was in the high-trampling sites (10 ind./m2). The Shannon index (H') of soil micro-fauna were seriously affected by trampling (P < 0.05), and the high trampling sites had the lowest H' index. A canonical correspondence analysis indicated the soil macrofaunal distribution in the mid-trampling and high-trampling plots differed from the no-trampling plots. The main factor affecting soil macrofauna distribution was soil total nitrogen content, soil moisture content, and total phosphorus content in no-trampling, mid-trampling, and high-trampling plots, respectively.
Key words: soil fauna     tourism disturbance     community structure     biodiversity    

人类活动导致的生物栖息地的转化和退化, 生境的破碎化, 气候的变化以及环境污染等方面使自然生态系统面临越来越大的压力, 从而显著影响了生态系统中生物的数量、组成及多样性等特征[1]。随着发展经济和人们追求生活质量需要的日益高涨, 旅游活动已经成为人类影响自然生态系统的重要方式之一[2-3]。在众多旅游活动中, 旅游者的踩踏是普遍存在的问题, 踩踏导致生态系统植被覆盖减少30%—75%, 同时植被的物种组成也会产生很大的改变[4];踩踏也会导致土壤紧实, 改变土壤的水热及养分状况, 而使土壤微生物的群落结构也产生很大的影响[5]。在旅游区踩踏影响最严重的区域是游道附近, 因此该区域成为研究旅游踩踏对生态系统影响的重点区域。

大型土壤动物栖息在土壤环境中, 处于整个土壤食物网的最顶端, 控制着其他动物所需资源的有效性, 是土壤生态系统的重要组成部分[6]。大型土壤动物群落的结构和数量对土壤环境变化非常敏感[7], 甚至要优于土壤各理化性质对环境变化的反应[8], 因此大型土壤动物作为指示生物在土壤质量评价体系中的重要作用也越来越受到重视[9-10]。已有的研究表明, 旅游区的旅游踩踏会对土壤环境及地表植被组成产生明显的干扰[11-14], 假定这种干扰必然通过大型土壤动物栖息环境及食物来源的变化而导致其群落结构, 数量特征及多样性水平会发生变化。但大型土壤动物的数量及群落特征如何对旅游踩踏做出响应, 目前对此研究的比较少, 仍需大量的实测数据进行证实和分析[15]

五大连池地质公园拥有丰富而又完整的火山生态系统, 具有极为珍贵的审美和科学价值, 每年吸引着大量国内外游客观光和疗养。其中药泉山因海拔低, 相对高度小, 开发时间长而成为五大连池火山群中受旅游干扰比较显著的一座。因此本研究以五大连池药泉山为研究样地, 在山脚山门, 山腰寺庙, 山顶佛像3个游客集中的地区, 按照距离游道的远近分为重度踩踏区、轻度踩踏区、非踩踏区3种干扰强度, 分析大型土壤动物对旅游干扰的响应, 希望能为景区土壤生态的恢复与重建及生态旅游的合理规划提供基础数据。

1 研究区概况

五大连池药泉山位于125°57′—126°31′E, 48°33′—48°52′N;属寒温带大陆性季风气候, 冬季严寒漫长, 夏季凉爽短促;年平均气温0.5℃, 无霜期为121 d;年平均降雨量为514.3 mm, 多集中在6—8月。药泉山为新期火山(30万年前), 地貌以火山碎屑沉积物和熔岩为主, 未被火山沉积物覆盖的地方保留了白垩纪和第三纪的沉积岩和花岗岩, 土壤为暗棕壤性火山土。药泉山为火山椎体, 山体海拔高度355.8 m, 相对高度65.8m, 坡度20°。其植被组成以乔木及草本层为主, 乔木层以蒙古栎(Quercus mongolica)为优势树种, 草本层以羊胡子苔草(Carex callitrichos V.Krecz)为优势种, 不同高度植被组成差异不大[16]

2 研究方法 2.1 样地设置

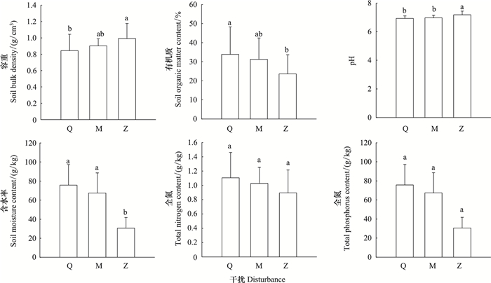
景区游道为石阶, 未修建索道, 距游道的远近反映旅游活动的不同干扰强度, 样地距游道越近, 旅游干扰程度越高, 反之则低。大量研究表明土壤容重的增加能够反映旅游干扰对土壤环境产生的胁迫效应[17], 土壤容重会随着旅游干扰程度的增加而表现出有规律的增加, 旅游干扰越严重的地区, 土壤的容重会越大, 这是因为土壤在外力踩踏作用下变得坚实, 其容重也就随之增大。因此于2012年8月在游客集中的3个景点——山顶佛像(334 m, T)、山腰寺庙(316 m, Y)和山底山门(298 m, J), 按土壤容重的差异分别设3个干扰区:

(1) 严重踩踏区(Z)——游道边缘, 人为践踏特别厉害, 地表无落叶杂草与其它灌木;

(2) 轻度踩踏区(M)——距离游道3—8 m处, 人活动较少, 地面覆盖枯枝败叶, 有少量灌木及杂草;

(3) 非踩踏区(Q)——距离游道20—30 m处, 几乎无人踏及, 地面覆盖大量枯枝败叶, 布满杂草。

不同干扰区土壤容重差异显著(P < 0.05)(图 1)。在每个干扰区内选择具有代表性的地段设3个取样点, 即重复3次。每个取样点内采用4点混合取样法采集土壤样品。由于火山地貌土层较薄, 因此每个样点垂直方向取0—10 cm土样, 共计27个(3个景点×3种干扰×3个重复), 且经分析该采样量已达到土壤动物调查的群落数要求, 即再增加群落的调查数量, 土壤动物组成没有明显变化, 因此本调查基本上可以反映土壤生物的组成状况。

图 1 不同旅游踩踏干扰地点土壤理化性质 Fig. 1 Soil environment parameters in different tourism disturbance plots BD:容重;MC:含水率;OM:有机质;TN:全氮;TP:全磷; Q、M、Z代表不同干扰区, 依次代表非踩踏区, 轻度踩踏区, 重度踩踏区; 不同小写字母表示在P<0.05水平上差异显著
2.2 大型土壤动物调查方法

每个样地按照50 cm× 50 cm面积进行取样, 手捡法分离大型土壤动物, 将分离出的大型土壤动物用75%的酒精固定, 带回实验室在实体显微镜下进行分类鉴定与数量统计, 大多数种类鉴定到科, 少数鉴定到目, 土壤动物的分类鉴定主要参考尹文英的《中国土壤动物检索图鉴》[18]

2.3 土壤理化性质测定方法

在各取样点取约1 kg土样带回实验室, 其中一部分用于土壤含水量测定(DHG-9030A型电热恒温鼓风干燥箱), 其余在实验室自然风干, 用于分析土壤样地的理化性质。

土壤理化因子的测定:土壤pH用PB-10型酸度计(德国赛多利斯股份公司)测定;土壤有机质用重铬酸钾容量法测定;土壤全氮用半微量开氏法测定;土壤全磷用钼锑抗分光光度法测定(T6新世纪紫外可见分光光度计, 普析通用)[19], 结果见图 1

2.4 数据处理方法
(1)
(2)
(3)
(4)

式中, Pi是第i种的个体数占总个体数的比例, Pi=Ni/N, Ni为第i种物种个体数, N为所在群落的所有物种的个体数之和, S为每个样品中的物种总数。

数据经正态分布检验, 采用单因素方差分析(One way ANOVA, LSD)验证踩踏干扰对大型土壤动物的类群数量, 个体密度, 相对多度及各多样性指数的显著性影响;用Pearson相关系数评价大型土壤动物的类群数量, 个体密度, 相对多度及各多样性指数与土壤理化性质的相互关系;采用典型对应分析(Canonical correspondence analysis, CCA)对土壤动物的丰度和土壤因子进行分析。所有数据分析均采用SPSS统计软件和CANOCO软件进行, 采用Sigmaplot 10.0进行图表制作。

3 研究结果 3.1 大型土壤动物组成和数量特征对旅游踩踏的响应

对药泉山3个景区3种踩踏强度大型土壤动物调查取样, 共获得大型土壤动物539只, 共22类(由于成虫和幼虫食性及对环境栖息条件不同, 因此分开归类), 分属于2门4纲6目19科, 平均个体密度为37头/m2。优势类群(占总个体数10%以上)2类:线蚓科(Enchytraeidae)和蚁科(Formicidae), 共占大型土壤动物总数量的53.41%;常见类群(占总体个数1%—10%)12类:金龟甲科幼虫(Scarabaeidae)、象甲科幼虫(Curculionidae)、食木虻科(Asilidae)、叩甲科幼虫(Elateridae)、正蚓科(Lumbricidae)、地蜈蚣目(GeoPhilomorPha)、蜘蛛目(Araneida)、拟步甲科幼虫(Tenebrionidae)、隐翅甲科(Staphylinidae)、虻科幼虫(Tabanidae)、地甲科成虫(Harpalidae)、石蜈蚣目(Lithobiomorpha)、占总数量的42.87%;稀有类群(占总个体数1%以下)8类:地甲科幼虫(Harpalidae), 拟步甲科(Tenebrionidae)、蚊科(Culicidae)、郭公甲科幼虫(Cleridae)、郭公甲科(Cleridae)、剑虻科(Therevidae)、大蚊科(Tipulidae)、夜蛾科(Noctuidae)、占总个体数的3.72%, 可见优势类群和常见类群构成药泉山大型土壤动物的主要部分(表 1)。

表 1 药泉山大型土壤动物类群组成及相对多度 Table 1 Group composition and relative abundance of soil macro-fauna in Yaoquan mountain
类群Taxon JQ TQ YQ Q JM TM YM M JZ TZ YZ Z 合计Total
线蚓科Enchytraeidae 42.59 0.00 28.99 24.71 39.47 66.95 26.14 45.94 0.00 5.26 14.29 6.67 35.81
蚁科Formicidae 5.56 9.80 23.19 13.79 21.05 1.69 40.91 19.38 8.33 31.58 14.29 20.00 17.63
金龟甲科幼虫Scarabaeidae 0.00 1.96 10.14 4.60 1.75 5.08 1.14 2.81 16.67 47.37 14.29 28.89 5.57
象甲科幼虫Curculionidae 24.07 23.53 0.00 14.37 0.00 0.85 4.55 1.56 0.00 0.00 0.00 0.00 5.57
食木虻科幼虫Asilidae 3.70 23.53 8.70 11.49 1.75 4.24 2.27 2.81 0.00 0.00 0.00 0.00 5.38
叩甲科幼虫Elateridae 3.70 9.80 2.90 5.17 0.88 7.63 5.68 4.69 0.00 0.00 0.00 0.00 4.45
正蚓科Lumbricidae 0.00 0.00 2.90 1.15 12.28 1.69 0.00 5.00 41.67 0.00 0.00 11.11 4.27
地蜈蚣目GeoPhilomorPha 5.56 0.00 8.70 5.17 2.63 2.54 1.14 2.19 0.00 0.00 7.14 2.22 3.15
蜘蛛目Araneida 3.70 11.76 2.90 5.75 0.88 1.69 2.27 1.56 0.00 0.00 7.14 2.22 2.97
拟步甲科幼虫Tenebrionidae 0.00 0.00 0.00 0.00 7.89 0.00 4.55 4.06 0.00 0.00 14.29 4.44 2.78
隐翅甲科Staphylinidae 3.70 7.84 2.90 4.60 2.63 0.00 3.41 1.88 0.00 0.00 0.00 0.00 2.60
虻科幼虫Tabanidae 7.41 3.92 4.35 5.17 1.75 1.69 0.00 1.25 0.00 0.00 0.00 0.00 2.41
地甲科成虫Harpalidae 0.00 1.96 2.90 1.72 0.88 0.85 0.00 0.63 25.00 0.00 14.29 11.11 1.86
石蜈蚣目Lithobiomorpha 0.00 5.88 0.00 1.72 2.63 0.85 3.41 2.19 0.00 0.00 0.00 0.00 1.86
地甲科幼虫Harpalidae 0.00 0.00 1.45 0.57 0.00 0.00 0.00 0.00 8.33 5.26 7.14 6.67 0.74
拟步甲科成虫Tenebrionidae 0.00 0.00 0.00 0.00 1.75 0.00 2.27 1.25 0.00 0.00 0.00 0.00 0.74
蚊科幼虫Culicidae 0.00 0.00 0.00 0.00 1.75 0.00 1.14 0.94 0.00 0.00 7.14 2.22 0.74
郭公甲幼虫Cleridae 0.00 0.00 0.00 0.00 0.00 1.69 0.00 0.63 0.00 5.26 0.00 2.22 0.56
郭公甲科成虫Cleridae 0.00 0.00 0.00 0.00 0.00 0.85 0.00 0.31 0.00 5.26 0.00 2.22 0.37
剑虻科幼虫Therevidae 0.00 0.00 0.00 0.00 0.00 0.85 0.00 0.31 0.00 0.00 0.00 0.00 0.19
大蚊科幼虫Tipulidae 0.00 0.00 0.00 0.00 0.00 0.85 0.00 0.31 0.00 0.00 0.00 0.00 0.19
夜蛾科幼虫Noctuidae 0.00 0.00 0.00 0.00 0.00 0.00 1.14 0.31 0.00 0.00 0.00 0.00 0.19
S 9 10 12 14 15 16 14 21 5 6 9 12 22
Q、M、Z代表不同干扰区, 依次代表非踩踏区, 轻度踩踏区, 重度踩踏区。JQ, TQ, YQ, JM, TM, YM, JZ, TZ, YZ分别代表山脚山门非踩踏区, 山腰寺庙非踩踏区, 山顶佛像非踩踏区, 山脚山门轻度踩踏区, 山腰寺庙轻度踩踏区, 山顶佛像轻度踩踏区, 山脚山门重度踩踏区, 山腰寺庙重度踩踏区, 山顶佛像重度踩踏区。S表示类群数

不同踩踏强度干扰区大型土壤动物类群数量差异显著(P < 0.001), 重度踩踏区显著低于轻度踩踏区和非踩踏区(表 1)。山顶佛像处轻度踩踏区(TM)大型土壤动物种类最多, 达16种, 而山底山门处的重度踩踏区(JZ)种类最少, 仅有5类(表 1)。不同样地大型土壤动物群落组成差异较大, 仅蚁科为9个样地的共有类群。同一土壤动物相对多度在不同样地间也有较大差异, 优势类群中线蚓科在TM比重最大, 占总个体数66.95%, 优势最明显, 在TZ则为常见种(5.26%), 而在JZ和TQ未捕获;蚁科虽为共有类群, 其相对多度在不同样地差异较大(1.69%—40.91%)。常见类群中象甲科幼虫、食木虻科、叩甲科幼虫、隐翅甲科、虻科幼虫、石蜈蚣目仅分布在非踩踏区和轻度踩踏区, 在重度踩踏区均未发现。此外, 剑虻科、大蚊科仅出现在山顶佛像处轻度踩踏区(TM), 夜蛾科仅出现在山腰寺庙处轻度踩踏区(YM)(表 1)。

不同踩踏强度干扰区大型土壤动物个体数差异明显(P < 0.001)(图 2), 其中轻度踩踏区(M)个体密度最大(68头/m2), 重度踩踏区个体密度最小(10头/m2), 个体密度相差6.8倍(图 2)。

图 2 不同旅游踩踏干扰地点大型土壤动物个体密度及多样性指数 Fig. 2 Soil macrofauna individual density and diversity index in different tourism disturbance plots C、H′、R1、Jsw分别代表Simpson辛普森优势度指数、Shannon-Weaner多样性指数、Margalef丰富度指数、Pieluo均匀性指数
3.2 大型土壤动物多样性对旅游踩踏的响应

单因素方差分析发现, 不同踩踏强度干扰区H′指数差异明显(P < 0.05), 而其他指数均无显著差异(P > 0.05), 轻度踩踏区及非踩踏区的多样性显著高于重度踩踏区(图 2)。对大型土壤动物群落指数与土壤环境因子进行相关分析, 发现大型土壤动物个体密度N与有机质含量正相关, S与土壤含水率, 有机质及全氮含量均呈正相关。而Pielou均匀度指数Jsw与有机质含量负相关(表 2)。

表 2 大型土壤动物群落参数与土壤环境因子的相关性 Table 2 Correlation between soil macrofauna community parameters and environment factors
群落参数
Community parameters
BD MC pH OM TN TP
N 0.02 0.16 -0.23 0.38** 0.19 0.17
S -0.07 0.27* -0.16 0.36** 0.34* 0.16
C -0.06 0.11 0.04 0.07 0.10 0.13
H′ -0.07 0.17 -0.13 0.22 0.29 0.14
R1 0.03 0.12 0.05 -0.03 0.24 0.11
Jsw 0.07 -0.12 0.22 -0.32* 0.06 0.03
BD:容重;MC:含水率;OM:有机质;TN:全氮;TP:全磷; NCH′、R1、Jsw分别代表个体密度、Simpson辛普森优势度指数、Shannon-Weaner多样性指数、Margalef丰富度指数、Pieluo均匀性指数
3.3 大型土壤动物群落空间分布典型对应分析

非踩踏区大型土壤动物类群与土壤理化性质DCA排序结果表明4个排序抽的长度为5.017、1.782、1.773、1.744。第一轴最长大于4, 因此运用CCA分析非踩踏区大型土壤动物类群多度与土壤理化性质之间的关系。第一轴与第二轴的Eigenvalues值分别为0.492和0.322, 分别解释了49.2%和32.2%的大型土壤动物种群变化, 大型土壤动物—环境相关系数分别是分别为0.882和0.847, 分别对应了43%和28.1%的种群—环境关系。在CCA二维排序图中, 理化因子由矢量线表示, 线的长短表示该因子与大型土壤动物种群间相关系数的大小。6个理化因子对大型土壤动物种群分布存在不同程度的影响, 其中TN影响最大, 其次为MC、pH、BD(图 3)。TN与第一轴呈最大正相关, 相关系数为0.69, 其次为MC, 相关系数为0.63, 说明第一排序轴明确反映了TN、MC的变化, 即排序轴从左到右, TN、MC逐渐增大。与第二排序轴相关性较大的是pH和BD, 相关系数分别为0.53和-0.45, 即沿排序轴方向由上到下, BD逐渐升高, pH逐渐降低(表 3)。非踩踏区大型土壤动物共14类:正蚓科、地甲科成虫、地甲科幼虫、叩甲科幼虫、蜘蛛目、地蜈蚣目、石蜈蚣目、金龟甲科幼虫、食木虻科幼虫、蚁科、隐翅甲科、虻科幼虫、象甲科幼虫、线蚓科。由图 3可知非踩踏区物种分布与环境的关系, 正蚓科、金龟甲科幼虫、食木虻、蚁科主要分布在图左侧, 即与TN、MC正相关。象甲科幼虫主要分布在图右侧, 与TN、MC负相关。地甲科成虫、石蜈蚣目、叩甲科幼虫、蜘蛛目、地蜈蚣目、隐翅甲科与pH正相关与BD负相关, 线蚓、地甲科幼虫与BD正相关, 与pH负相关。

图 3 非踩踏区大型土壤动物典型对应分析 Fig. 3 Canonical correspondence analysis (CCA) diagram for soil macrofauna in no-trampling plots 土壤动物简写为其全名的前4个字母, 如线蚓科Ench-Enchytraeidae, 其余见表 1; (l)代表幼虫, (a)代表成虫

表 3 不同踩踏干扰区环境因子与CCA排序轴之间的相关关系 Table 3 Correlation coefficients between environmental factors and CCA ordination axes in different disturbance plots
环境因子
Environmental factors
非踩踏区no trampling plots (Q) 轻度踩踏区mid trampling plots (M) 重度踩踏区high trampling plots (Z)
轴1 axis1 (AX1) 轴2 axis2 (AX2) 轴1 axis1 (AX1) 轴2 axis2 (AX2) 轴1 axis1 (AX1) 轴2 axis2 (AX2)
pH 0.24 0.53 0.12 0.13 0.19 0.48
OM -0.28 0.36 0.14 -0.42 -0.09 -0.36
TN 0.69 -0.30 0.07 0.32 -0.05 0.32
TP -0.33 -0.10 0.45 0.02 -0.84 0.06
BD -0.20 -0.45 -0.09 -0.35 0.08 0.66
MC 0.63 -0.08 -0.51 0.49 0.20 -0.48
OM:有机质soil organic matter content TN:全氮total nitrogen content TP:全磷total phosphorus content BD:容重soil bulk density MC:含水率soil moisture content

轻度踩踏区大型土壤动物类群与土壤理化性质DCA排序结果表明4个排序抽的长度为6.986、2.134、2.802、2.226。第一轴最长大于4, 因此运用CCA分析轻度踩踏区大型土壤动物类群多度与土壤理化性质之间的关系。第一轴与第二轴的Eigenvalues值分别为0.320和0.253, 分别解释了32%和25.3%的大型土壤动物种群变化, 大型土壤动物—环境相关系数分别是分别为0.878和0.725, 分别对应了31.7和24.1%的种群—环境关系。6个理化因子中MC对轻度踩踏区大型土壤动物种群分布影响最大, 其次为TP, OM(图 4)。MC与第一轴呈最大负相关, 相关系数为-0.51, 其次为TP, 相关系数为0.45, 即排序轴从左到右, MC降低, TP升高。与第二排序轴相关性较大的是MC和OM, 相关系数分别为0.49和-0.42, 即沿排序轴方向由上到下, MC逐渐升高, OM逐渐降低(表 3)。轻度踩踏区分布21类大型土壤动物, 仅有地甲科幼虫未发现。由图 4可知轻度踩踏区物种分布与环境的关系, 蜘蛛目集中于图的中心位置, 适应能力较强, 分布较广泛。地甲科幼虫、食木虻科幼虫分布在第二象限, 与MC显著正相关。夜蛾科幼虫主要分布在第四象限, 与MC呈负相关。蚊科幼虫、叩甲科幼虫、地蜈蚣目、蚁科与TP正相关。金龟甲科幼虫与OM正相关, 剑虻科幼虫、大蚊科幼虫、郭公甲科成虫及幼虫与OM负相关, 与TN正相关。郭公甲科幼虫和成虫、大蚊科幼虫、剑虻科幼虫在图中重合, 说明其分布具有一致性。

图 4 轻度踩踏区大型土壤动物典型对应分析 Fig. 4 Canonical correspondence analysis (CCA) diagram for soil macrofauna in mid-trampling plots

重度踩踏区大型土壤动物类群与土壤理化性质DCA排序结果表明4个排序抽的长度为0.000、7.760、2.384、1.462。第二轴最长, 长度长于4, 因此运用CCA分析重度踩踏区大型土壤动物类群多度与土壤理化性质之间的关系。第一轴与第二轴的Eigenvalues值分别为0.591和0.476, 分别解释了59.1%和47.6%的大型土壤动物种群变化, 大型土壤动物—环境相关系数分别是分别为0.906和0.876, 分别对应了37.2%和29.9%的种群—环境关系。6个理化因子对重度踩踏区大型土壤动物种群分布存在不同程度的影响, 其中TP影响最大, 其次为BD、MC、pH(图 5), TP与第一轴呈最大负相关, 相关系数为-0.84, 即排序轴从左到右, TP降低。与第二排序轴相关性较大的是BD, 相关系数为0.66, 即沿排序轴方向由上到下, BD逐渐降低, 其次为pH和MC, 相关系数分别为0.48和-0.48, 即沿排序轴方向由上而下, MC逐渐增加, pH逐渐降低(表 3)。重度踩踏区大型土壤动物共12类:地蜈蚣目、正蚓科、蜘蛛目、地甲科成虫、地甲科幼虫、线蚓科、金龟甲科幼虫、蚁科、郭公甲科成虫、郭公甲科幼虫、拟步甲科幼虫、蚊科幼虫。

图 5 重度踩踏区大型土壤动物典型对应分析 Fig. 5 Canonical correspondence analysis (CCA) diagram for soil macrofauna in high-trampling plots

图 5可知重度踩踏区物种分布与环境的关系, 图中心位置未有大型土壤动物分布, 说明重度踩踏区大型土壤动物对环境适应性较弱, 其分布均要受一种或几种环境因子的制约, 线蚓科、蜘蛛目、地蜈蚣目、郭公甲科成虫及幼虫均与TP正相关, 正蚓科、蚁科、拟步甲科幼虫及蚊科幼虫则与TP负相关。地蜈蚣目、正蚓科、地甲科幼虫与BD, pH正相关与MC负相关, 拟步甲科幼虫、蚊科幼虫、郭公甲科成虫及幼虫则正好相反。此外, 郭公甲科幼虫成虫分布具有一致性, 拟步甲科幼虫及蚊科幼虫分布具有一致性。

4 讨论 4.1 大型土壤动物数量特征、群落组成及多样性对旅游踩踏的响应

旅游踩踏显著减少了大型土壤动物类群数量和个体数量。研究表明在药泉山3种不同踩踏强度的研究样地, 重度踩踏区由于游客踩踏严重, 大型土壤动物类群数(12类), 及个体密度(10头/m2)显著低于轻度踩踏及非踩踏区(表 1, 图 2)。同时旅游踩踏也显著影响了大型土壤动物类群的组成, 除了蚁科为3种踩踏干扰样地共有的优势类群外, 重度踩踏区的其他优势类群完全不同于轻度踩踏区及非踩踏区。且在非踩踏区和轻度踩踏区的常见类群中象甲科幼虫、食木虻科、叩甲科幼虫、隐翅甲科、虻科幼虫、石蜈蚣目等大型土壤动物在重度踩踏区均未发现。研究还发现重度踩踏区香农指数显著低于轻度踩踏区及非踩踏区(图 2)。即旅游者的踩踏严重影响了土壤生态系统大型土壤动物的结构和特征。大型土壤动物生活在土壤孔隙之中, 踩踏不仅能够直接杀死或伤害土壤动物, 还可以通过施加在土壤表面上的压力造成土壤板结, 土壤板结减小土壤孔隙空间和连通性, 减弱氧气和水的运输, 因而大型土壤动物的栖息环境受到破坏, 从而导致土壤动物数量的减少[20-23]。同时人类旅游活动会加剧生物种类之间的竞争, 最终适应能力强的生物生存下来, 淘汰适应能力弱的生物, 使物种组成趋于单一, 种类多样性程度降低, 这与以往关于旅游对植被影响的研究结果是一致的[24-25]。药泉山与同为五大连池的南格拉球山的大型土壤动物的比较进一步说明了这一规律。药泉山大型土壤动物群落仅22类(表 1), 远远低于对五大连池南格拉球山大型土壤动物的调查结果(44类)[26]。南格拉球山与药泉山同为五大连池火山群中两个死火山, 土壤质地相同, 植被组成类似, 气候条件一致。但药泉山开发较早, 且有钟灵禅寺, 二龙眼矿泉等知名景点, 游客数量远多于南格拉球山。因此药泉山较为严重的旅游踩踏是造成二者大型土壤动物类群数量差异的主要原因。

研究同时表明中等人为干扰下的轻度踩踏区大型土壤动物具有最高的个体密度(68头/m2), 最多的类群数(22类), 以及最高的香农指数(0.95), 这符合Connell提出的中度干扰理论。该理论认为, 中等程度的干扰水平能维持高多样性, 中等干扰的群落多样性较干扰频繁和不干扰群落的物种多样性都高。这是生态系统对外界轻度干扰的一种适应, 是生态系统维持稳定的一种对策。中等强度的旅游干扰既不会对物种造成损伤, 同时也抑制了群落中优势种的生长, 从而使群落多样性增加[27]。在晋秀龙等对赭山, 王立龙和陆林对太平湖国家湿地公园不同旅游强度下大型土壤动物研究中, 均发现在游道附近及风景区内部林区间存在边缘效应, 即在二者之间大型土壤动物种类及个体数量及多样性指数呈现最大值[21-22], 与本研究结论一致。中度干扰理论表明适度的干扰可以提高生物多样性, 但是一旦干扰超过其调节能力, 群落的结构和生态功能即被破坏, 因此要合理控制旅游活动的规模和强度, 在促进经济增长的同时, 保护旅游区的生物多样性。

4.2 旅游踩踏对大型土壤动物群落的作用机制

通过相关分析发现, 有机质含量与大型土壤动物个体密度及种类数正相关(表 2), 即有机质含量高, 大型土壤动物个体密度越大, 类群越丰富。踩踏使地表植被破坏, 凋落物归还量减少。植被破坏后, 地表汇流加剧, 带走土壤中部分有机质和有机酸。再加上踩踏使土壤水分含量低, 有机质氧化分解强烈[28-29], 从而导致土壤有机质表现出随着旅游踩踏强度的增大, 含量不断减少的规律(图 1)。有机质是大型土壤动物主要的代谢基质, 因此旅游踩踏导致大型土壤动物养分来源减少, 从而减少了大型土壤动物种类及个体数, 这与Zhang对大庆退化草甸的研究结果是一致的[30]

旅游踩踏使土壤理化因子对大型土壤动物种群影响也产生了变化, 典型对应分析的结果表明非踩踏区对物种影响最大的土壤理化因子是TN, 其次为MC、pH、BD;轻度踩踏区MC对大型土壤动物种群分布影响最大, 其次为TP、OM;重度踩踏区TP影响最大, 其次为BD、MC、pH。氮和磷是生物需求量最大的营养元素, 是陆地生态系统初级生产力的主要限制因子, 分别是制约非踩踏区与重度踩踏区大型土壤动物的分布两种养分元素。自然土壤中的氮主要来自于生物固氮, 而磷主要来自于岩石和动植物残体。药泉山为典型火山地貌, 地质形成条件特殊, 植被覆盖较差, 土壤发育迟缓, 土层较薄, 氮素含量显著低于其他地区, 而磷含量较高[19]。氮含量成为非踩踏区大型土壤动物分布的主要限制因子, 重度踩踏区磷含量成为影响大型土壤动物分布的主要限制因素, 但单因素方差分析结果表明旅游踩踏并未对药泉山土壤TN和TP含量产生显著影响(图 1)。原因可能是随着踩踏使土壤裸露程度增加, 而使土壤中的速效磷含量发生显著变化, 具体原因需要进一步进行试验分析。

此外, 同一类群对环境要素的响应也发生了变化。例如, 正蚓科在非踩踏区与MC正相关, 而在重度踩踏区与MC呈负相关关系, 非踩踏区线蚓受容重的影响比较明显, 在重度踩踏区TP则成为其分布的主要制约因素。可见, 旅游踩踏不仅改变了大型土壤动物结构组成, 对其与环境的关系也产生了显著影响。

5 结论

旅游踩踏作为重要人为干扰, 已经显著影响大型土壤动物数量, 组成及多样性, 并改变了大型土壤动物分布及其与环境因子的关系。研究表明轻度的踩踏干扰能使大型土壤动物的类群数, 个体密度及多样性指数增加, 但是一旦干扰超过其调节能力, 大型土壤动物的群落的结构和多样性即被破坏, 进而对景区的生态环境造成负面影响。因此要对景区旅游活动的规模和强度进行合理规划, 尽量减少对游道附近环境的踩踏, 在保障地区经济发展的同时, 保护旅游区的自然生态环境。

参考文献
[1] Newbold T, Hudson L N, Hill S L L, Contu S, Lysenko I, Senior R A, B rger L, Bennett D J, Choimes A, Collen B, Day J, De Palma A, Díaz S, Echeverria-Londoño S, Edgar M J, Feldman A, Garon M, Harrison M L K, Alhusseini T, Ingram D J, Itescu Y, Kattge J, Kemp V, Kirkpatrick L, Kleyer M, Correia D L P, Martin C D, Meiri S, Novosolov M, Pan Y, Phillips H R P, Purves D W, Robinson A, Simpson J, Tuck S L, Weiher E, White H J, Ewers R M, Mace G M, Scharlemann J P W, Purvis A. Global effects of land use on local terrestrial biodiversity. Nature , 2015, 520 (7545) : 45–50. DOI:10.1038/nature14324
[2] Lucas-Borja M E, Bastida F, Moreno J L, Nicolás C, Andres M, López F R, Del Cerro A. The effects of human trampling on the microbiological properties of soil and vegetation in Mediterranean mountain areas. Land Degradation & Development , 2011, 22 (4) : 383–394.
[3] Schlacher T A, Nielsen T, Weston M A. Human recreation alters behaviour profiles of non-breeding birds on open-coast sandy shores. Estuarine, Coastal and Shelf Science , 2013, 118 : 31–42. DOI:10.1016/j.ecss.2012.12.016
[4] Hamberg L, Malmivaara-Lämsä M, Lehvävirta S, O'Hara R B, Kotze D J. Quantifying the effects of trampling and habitat edges on forest understory vegetation-a field experiment. Journal of Environmental Management , 2010, 91 (9) : 1811–1820. DOI:10.1016/j.jenvman.2010.04.003
[5] Malmivaara-Lämsä M, Hamberg L, Haapamäki E, Liski J, Kotze D J, Lehvävirta S, Fritze H. Edge effects and trampling in boreal urban forest fragments-impacts on the soil microbial community. Soil Biology and Biochemistry , 2008, 40 (7) : 1612–1621. DOI:10.1016/j.soilbio.2008.01.013
[6] 李晓强, 殷秀琴, 孙立娜. 松嫩草原不同演替阶段大型土壤动物功能类群特征. 生态学报 , 2014, 34 (2) : 442–450.
[7] Lavelle P, Blanchart E, Martin A, Spain A V, Martin S. Impact of soil fauna on the properties of soils in the humid tropics//Lal R, Sanchez P A, eds. Myths and Science of Soils of the Tropics:Proceedings SSSA, Las Vegas, Nevada, Madison:Soil Science Society of America Inc, 1992:157-185.
[8] Barros E, Pashanasi B, Constantino R, Lavelle P. Effects of land-use system on the soil macrofauna in western Brazilian Amazonia. Biology and Fertility of Soils , 2002, 35 (5) : 338–347. DOI:10.1007/s00374-002-0479-z
[9] Baranová B, Manko P, Jászay T. Waste dumps as local biodiversity hotspots for soil macrofauna and ground beetles (Coleoptera:Carabidae) in the agricultural landscape. Ecological Engineering , 2015, 81 : 1–13. DOI:10.1016/j.ecoleng.2015.04.023
[10] Hirmas D R, Cooper M. Introduction to the special issue on soil macrofauna as ecosystem engineers. Soil Science , 2016, 181 (3/4) : 89–90. DOI:10.1097/SS.0000000000000149
[11] Olive N D, Marion J L. The influence of use-related, environmental, and managerial factors on soil loss from recreational trails. Journal of Environmental Management , 2009, 90 (3) : 1483–1493. DOI:10.1016/j.jenvman.2008.10.004
[12] Yang M, Hens L, Ou X K, De Wulf R. Impacts of recreational trampling on sub-alpine vegetation and soils in Northwest Yunnan, China. Acta Ecologica Sinica , 2009, 29 (3) : 171–175. DOI:10.1016/j.chnaes.2009.07.005
[13] Hardiman N, Burgin S. Effects of trampling on in-stream macroinvertebrate communities from canyoning activity in the Greater Blue Mountains World Heritage Area. Wetlands Ecology and Management , 2011, 19 (1) : 61–71. DOI:10.1007/s11273-010-9200-4
[14] Sarmento V C, Santos P J P. Trampling on coral reefs:tourism effects on harpacticoid copepods. Coral Reefs , 2012, 31 (1) : 135–146. DOI:10.1007/s00338-011-0827-2
[15] Lee Y F, Kuo Y M, Lu S S, Chen D Y, Jean H J, Chao J T. Trampling, litter removal, and variations in the composition and relative abundance of soil arthropods in a subtropical hardwood forest. Zoological Studies , 2009, 48 (2) : 162–173.
[16] 王允鹏, 石越, 王宏昌, 孔令斌.中国国家地质公园丛书-五大连池.上海:中国地图出版社, 中华地图学社, 2010.
[17] 陈飙, 杨桂华. 旅游者践踏对生态旅游景区土壤影响定量研究——以香格里拉碧塔海生态旅游景区为例. 地理科学 , 2004, 24 (3) : 371–375.
[18] 尹文英. 中国土壤动物检索图鉴. 北京: 科学出版社, 1998.
[19] 鲍士旦. 土壤农化分析.第3版. 北京: 中国农业出版社, 2000.
[20] 晋秀龙, 陆林, 巩劼, 朱永恒. 游憩活动对赭山风景区大型土壤动物群落的影响. 自然资源学报 , 2009, 24 (4) : 691–699.
[21] 晋秀龙, 陆林, 巩劼, 王立龙. 旅游活动对九华山风景区大型土壤动物群落影响. 地理研究 , 2011, 30 (1) : 103–114.
[22] 王立龙, 陆林. 旅游干扰对太平湖国家湿地公园土壤酶活性及大型土壤动物分布的影响. 湿地科学 , 2013, 11 (2) : 212–218.
[23] Van Klink R, Schrama M, Nolte S, Bakker J P, WallisDeVries M F, Berg M P. Defoliation and soil compaction jointly drive large-herbivore grazing effects on plants and soil arthropods on clay soil. Ecosystems , 2015, 18 (4) : 671–685. DOI:10.1007/s10021-015-9855-z
[24] 张淑花, 赵美微, 张雪萍. 旅游干扰对二龙山风景区土壤和植被的影响. 土壤学报 , 2011, 42 (3) : 523–527.
[25] 张桂萍, 张峰, 茹文明. 旅游干扰对历山亚高山草甸植物多样性的影响. 生态学报 , 2008, 28 (1) : 407–415.
[26] 杜鹃, 张丽梅, 张雪萍. 旅游对五大连池南格拉球山土壤及大型土壤动物的影响. 哈尔滨师范大学自然科学学报 , 2012, 28 (5) : 85–90.
[27] Connell J H. Diversity in tropical rain forests and coral reefs. Science , 1978, 199 (4335) : 1302–1310. DOI:10.1126/science.199.4335.1302
[28] 马建华, 朱玉涛. 嵩山景区旅游活动对土壤组成性质和重金属污染的影响. 生态学报 , 2008, 28 (3) : 955–965.
[29] 张晓芹, 孙磊, 张强. 旅游干扰对济南千佛山风景区土壤部分生态因子的影响. 水土保持学报 , 2015, 29 (4) : 332–336.
[30] Zhang L M, Zhang X P, Cui W. Relationship between land use pattern and the structure and diversity of soil meso-micro arthropod community. Ecotoxicology , 2014, 23 (4) : 707–717. DOI:10.1007/s10646-014-1186-x